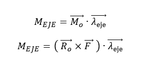
Para poder aplicar la fórmula, la fuerza NO debe ser paralela al eje y su linea de acción (de la fuerza) NO debe cruzar el eje. El radio Ro debe iniciar en un punto del eje y terminar en un punto de la linea de acción de la fuerza.
El taller de ejercicios sobre momento alrededor de un eje lo encontramos en el siguiente link: TALLER
| Paladier de la dirección - http://www.ciclosalmozara.es |

No hay comentarios:
Publicar un comentario